97622¹ú¼ÊÖÁ×ðÆ·ÅÆ

97622¹ú¼ÊÖÁ×ðÆ·ÅÆ(ÖйúÇø)-¹Ù·½ÍøÕ¾

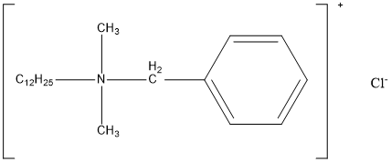
Ê®¶þÍé»ù¶þ¼×»ùÜлùÂÈ»¯ï§ 1227

Dodecyl Dimethyl Benzyl ammonium Chloride 1227

ÓÖÃû£º½à¶ûÃð¡¢±½ÔúÂÈï§¡¢É±Ôå°· DDBAC

CAS No.139-07-1

·Ö×Óʽ£ºC21H38NCl             Ïà¶Ô·Ö×ÓÖÊÁ¿£º340.00

½á¹¹Ê½
Ê®¶þÍé»ù¶þ¼×»ùÜлùÂÈ»¯ï§ 1227£¨½à¶ûÃð¡¢±½ÔúÂÈï§£©½á¹¹Ê½

Ò»¡¢ÐÔÄÜÓëÓÃ;

1227ÊÇÒ»ÖÖÑôÀë×ÓÍâò»îÐÔ¼Á£¬£¬£¬£¬£¬ £¬Êô·ÇÑõ»¯ÐÔɱ¾ú¼Á£¬£¬£¬£¬£¬ £¬¾ßÓйãÆ×¡¢¸ßЧµÄɱ¾úÃðÔåÄÜÁ¦£¬£¬£¬£¬£¬ £¬ÄÜÓÐÓõؿØÖÆË®ÖоúÔå×ÌÉúºÍÕ³ÄàÉú³¤£¬£¬£¬£¬£¬ £¬²¢¾ßÓÐÓÅÒìµÄÕ³Äà°þÀë×÷ÓúÍÒ»¶¨µÄÊèÉ¢¡¢ÉøÍ¸×÷Ó㬣¬£¬£¬£¬ £¬Í¬Ê±¾ßÓÐÒ»¶¨µÄÈ¥ÓÍ¡¢³ý³ôÄÜÁ¦»ººÍÊ´×÷Óᣡ£¡£ ¡£¡£¡£ ¡£¡£

1227¶¾ÐÔС£¡£¡£ ¡£¡£¡£ ¡£¡£¬£¬£¬£¬£¬ £¬ÎÞ»ýÀÛÐÔ¶¾ÐÔ£¬£¬£¬£¬£¬ £¬²¢Ò×ÈÜÓÚË®£¬£¬£¬£¬£¬ £¬²¢²»ÊÜˮӲ¶ÈÓ°Ï죬£¬£¬£¬£¬ £¬Òò´ËÆÕ±éÓ¦ÓÃÓÚʯÓÍ¡¢»¯¹¤¡¢µçÁ¦¡¢·ÄÖ¯µÈÐÐÒµµÄÑ­»·ÀäȴˮϵͳÖУ¬£¬£¬£¬£¬ £¬ÓÃÒÔ¿ØÖÆÑ­»·Àäȴˮϵͳ¾úÔå×ÌÉú£¬£¬£¬£¬£¬ £¬¶ÔɱÃðÁòËáÑλ¹Ô­¾úÓÐÌØÐ§¡£¡£¡£ ¡£¡£¡£ ¡£¡£

1227¿É×÷Ϊ·Ä֯ӡȾÐÐÒµµÄɱ¾ú·Àù¼Á¼°ÈáÈí¼Á¡¢¿¹¾²µç¼Á¡¢È黯¼Á¡¢µ÷Àí¼ÁµÈ¡£¡£¡£ ¡£¡£¡£ ¡£¡£

¶þ¡¢ÊÖÒÕÖ¸±ê ÇкÏHG/T 2230¡ª2006

Ïî  Ä¿ Ö¸  ±ê
HG/T 2230-2006 --
Íâ ¹Û ÎÞÉ«ÖÁ΢»ÆÉ«Í¸Ã÷ÒºÌå µ­»ÆÉ«Í¸Ã÷ÒºÌå
»îÐÔÎﺬÁ¿ /% ¡Ý44.0 ¡Ý80.0
ï§Ñκ¬Á¿ /% ¡Ü1.0 ¡Ü1.0
pHÖµ(1%Ë®ÈÜÒº) 6.0¡«8.0 (Ô­Òº) 6.0¡«8.0

Èý¡¢Ê¹ÓÃÒªÁì

1227×÷ɱ¾úÃðÔå¼Á£¬£¬£¬£¬£¬ £¬Ò»Ñùƽ³£Í¶¼Ó¼ÁÁ¿Îª50-100mg/L£»£»£» £»£»£»£»×÷Õ³Äà°þÀë¼Á£¬£¬£¬£¬£¬ £¬Ê¹ÓÃÁ¿Îª200-300mg/L£¬£¬£¬£¬£¬ £¬ÐèҪʱ¿ÉͶ¼ÓÊÊÁ¿Óлú¹èÀàÏûÅݼÁ¡£¡£¡£ ¡£¡£¡£ ¡£¡£1227¿ÉÓëÆäËüɱ¾ú¼Á£¬£¬£¬£¬£¬ £¬ÀýÈçÒìàçßòßøÍª¡¢Îì¶þÈ©¡¢¶þÁòÇè»ù¼×ÍéµÈÅäºÏʹÓ㬣¬£¬£¬£¬ £¬¿ÉÆðµ½ÔöЧ×÷Ó㬣¬£¬£¬£¬ £¬µ«²»¿ÉÓëÂÈ·ÓÀàÒ©¼ÁÅäºÏʹÓᣡ£¡£ ¡£¡£¡£ ¡£¡£Í¶¼Ó1227ºóÑ­»·Ë®ÖÐÒò°þÀë¶ø·ºÆðÎÛÎ£¬£¬£¬£¬ £¬Ó¦ÊµÊ±Â˳ý»òÀ̳ö£¬£¬£¬£¬£¬ £¬ÒÔÃâÅÝÄ­ÏûÊźó³Á»ý¡£¡£¡£ ¡£¡£¡£ ¡£¡£

1227ÇÐÎðÓëÒõÀë×ÓÍâò»îÐÔ¼ÁÈç¾Û±ûÏ©Ëᡢˮ½â¾ÛÂíµÈ»ìÓᣡ£¡£ ¡£¡£¡£ ¡£¡£

ËÄ¡¢°ü×°ÓëÖü´æ

1227ʹÓÃËÜÁÏͰ°ü×°£¬£¬£¬£¬£¬ £¬Ã¿Í°25kg»ò200 kg;80%º¬Á¿µÄΪ190kg/Ͱ¡£¡£¡£ ¡£¡£¡£ ¡£¡£1227ÖüÓÚÊÒÄÚÒõÁ¹Í¸·ç´¦£¬£¬£¬£¬£¬ £¬Öü´æÆÚΪһÄê¡£¡£¡£ ¡£¡£¡£ ¡£¡£

Îå¡¢Çå¾²Óë·À»¤

1227ÂÔÓÐÐÓÈÊ棬£¬£¬£¬£¬ £¬¶ÔƤ·ôÎÞÏÔ×Ŵ̼¤£¬£¬£¬£¬£¬ £¬½Ó´¥Æ¤·ôʱ£¬£¬£¬£¬£¬ £¬ÓÃË®³åÏ´¼´¿É¡£¡£¡£ ¡£¡£¡£ ¡£¡£

Òªº¦×Ö£ºÊ®¶þÍé»ù¶þ¼×»ùÜлùÂÈ»¯ï§ 1227£¬£¬£¬£¬£¬ £¬1227£¬£¬£¬£¬£¬ £¬½à¶ûÃ𣬣¬£¬£¬£¬ £¬±½ÔúÂÈï§£¬£¬£¬£¬£¬ £¬É±Ôå°· DDBAC£¬£¬£¬£¬£¬ £¬É±¾ú¼Á£¬£¬£¬£¬£¬ £¬É±¾úÃðÔå¼Á£¬£¬£¬£¬£¬ £¬¸ßЧɱ¾ú¼Á£¬£¬£¬£¬£¬ £¬Ë®´¦Öóͷ£É±¾ú¼Á
ÏúÊÛÈÈÏߣº0632-5113088      ÏúÊÛ´«Õ棺 0632-5113155
µØÖ·£ºÉ½¶«Ê¡Ôæ×¯ÊÐÊÐÖÐÇøÊ®ÀïȪ¶«Â·1ºÅ     ÍøÖ·£ºhttp://www.thwater.com      E-mail£ºth@thwater.com
°æÈ¨ËùÓЩ £º2006-2021 97622¹ú¼ÊÖÁ×ðÆ·ÅÆ ³ICP±¸09091669ºÅ-43
ÍøÕ¾µØÍ¼