
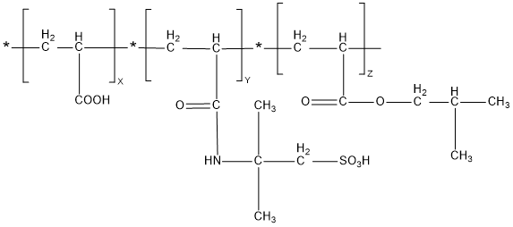
Carboxylic - Sulfonate - Acrylate Terpolymer
»¯Ñ§×é³É£ºAA-AMPS-HPAÈýÔª¹²¾ÛÎï
AA-AMPS-HPAÈýÔª¹²¾ÛÎïÊÇÒ»ÖÖÐÂÐ͵ĺ¬ÓжàÖÖ¹ÙÄÜÍŵľ۵ç½âÖÊ×蹸ÊèÉ¢¼Á¡£¡£¡£¡£¡£¡£¡£ÓÉÓÚÔÚ¹²¾ÛÎïµÄ·Ö×ÓÁ´ÉÏͬʱº¬ÓÐÇ¿Ëá¡¢ÈõËáÓë·ÇÀë×Ó»ùÍÅ£¬£¬£¬£¬£¬£¬£¬£¬±¾²úÆ·ÔÚ¸ßΡ¢¸ßpH¡¢¸ßÓ²Óë¸ß¼îÌõ¼þϾßÓнϸߵĸÆÈÝÈ̶ȣ¬£¬£¬£¬£¬£¬£¬£¬¶ÔË®ÖеÄ̼Ëá¸Æ¡¢Á×Ëá¸Æ¡¢Ð¿¹¸¡¢Ñõ»¯ÌúÒÔ¼°ÄàɳµÈÎÛ¹¸µÄ³Á»ý£¬£¬£¬£¬£¬£¬£¬£¬¾ßÓÐÓÅÁ¼µÄÒÖÖÆ×÷ÓúÍÊèÉ¢ÐÔÄÜ£¬£¬£¬£¬£¬£¬£¬£¬¿ÉÌæ»»T-225ºÍһЩͨÀýµÄ»ÇËá¹²¾ÛÎïʹÓᣡ£¡£¡£¡£¡£¡£AA-AMPS-HPAÈýÔª¹²¾ÛÎïÓë¾ÛÁ×ËáÑΡ¢Ð¿ÑΡ¢Óлúì¢ËáÑεȳ£ÓÃË®´¦Öóͷ£¼ÁÅäÎéÐÔÄÜÓÅÒ죬£¬£¬£¬£¬£¬£¬£¬ÓÈÆäÊÇ¿ÉÓëпÑδó¼ÁÁ¿¸´Å䣬£¬£¬£¬£¬£¬£¬£¬ÎÈпÂʸߣ¬£¬£¬£¬£¬£¬£¬£¬´Ó¶øÌá¸ßÁËÒ©¼Á¶Ô̼¸ÖµÄ»ºÊ´ÂÊ£¬£¬£¬£¬£¬£¬£¬£¬Òѱ»ÆÕ±éÓÃÓÚ¸ÖÌú¡¢Ê¯»¯¡¢µçÁ¦¡¢ÓÍÌú̿µÈÐÐÒµµÄÅÓºéË®ÖʵĴ¦Öóͷ£ÖС£¡£¡£¡£¡£¡£¡£
| Ïî Ä¿ | Ö¸ ±ê |
| Íâ¹Û | ÎÞÉ«ÖÁµ»ÆÉ«Í¸Ã÷ÒºÌå |
| ¹ÌÌ庬Á¿/% | ¡Ý30.0 |
| pH(1%Ë®ÈÜÒº) | 2.0¡«4.0 |
| ÃܶÈ(20¡æ)/ g¡¤cm-3 | ¡Ý1.1 |
| ÓÎÀëµ¥Ìå(ÒÔAA¼Æ)/% | ¡Ü0.5 |
AA-AMPS-HPAÈýÔª¹²¾ÛÎï×蹸ÊèÉ¢¼ÁÕý³£ÓÃÁ¿Îª10¡«30 mg/L£¬£¬£¬£¬£¬£¬£¬£¬ÏêϸÓÃÁ¿ÊÓ²î±ðË®ÖÊÌõ¼þ¶ø¶¨£¬£¬£¬£¬£¬£¬£¬£¬¿ÉÓëпÑκÍÓлúì¢Ëá(ÑÎ)ÅäºÏʹÓ㬣¬£¬£¬£¬£¬£¬£¬ÊÊÓÃpHÌõ¼þΪ7.0¡«9.5¡£¡£¡£¡£¡£¡£¡£×÷ΪÊèÉ¢Ñõ»¯ÌúʹÓÃʱ£¬£¬£¬£¬£¬£¬£¬£¬Í¶¼ÓÁ¿Ò»Ñùƽ³£Îª80¡«100 mg/L£¬£¬£¬£¬£¬£¬£¬£¬Ìض¨Ó¦ÓÃʱÌí¼ÓÁ¿ÐèÆ¾Ö¤ÏÖʵÊÔÑé¶ø¶¨¡£¡£¡£¡£¡£¡£¡£
AA-AMPS-HPAÈýÔª¹²¾ÛÎïÓÃËÜÁÏͰ°ü×°£¬£¬£¬£¬£¬£¬£¬£¬Ã¿Í°25kg¡¢200kg»ò1000kg (¿ÉÒÔÆ¾Ö¤ÐèҪȷ¶¨)¡£¡£¡£¡£¡£¡£¡£ÖüÓÚÊÒÄÚÒõÁ¹´¦£¬£¬£¬£¬£¬£¬£¬£¬Öü´æÆÚΪʮ¸öÔ¡£¡£¡£¡£¡£¡£¡£
AA-AMPS-HPAÈýÔª¹²¾ÛÎïΪÈõËáÐÔ£¬£¬£¬£¬£¬£¬£¬£¬²Ù×÷Ê±×¢ÖØÀͶ¯±£»£»£»£»£»£»£»¤£¬£¬£¬£¬£¬£¬£¬£¬Ó¦×èÖ¹ÓëÆ¤·ô¡¢ÑÛ¾¦µÈ½Ó´¥£¬£¬£¬£¬£¬£¬£¬£¬½Ó´¥ºóÁ¬Ã¦Óôó×ÚÇåË®³åÏ´¡£¡£¡£¡£¡£¡£¡£