97622¹ú¼ÊÖÁ×ðÆ·ÅÆ

97622¹ú¼ÊÖÁ×ðÆ·ÅÆ(ÖйúÇø)-¹Ù·½ÍøÕ¾

Ë®½â¾ÛÂíÀ´Ëáôû HPMA

Hydrolyzed Polymaleic Anhydride (HPMA)

ÓÖÃû£º¾ÛÂíÀ´Ëᣬ£¬£¬ £¬£¬£¬ £¬£¬¾Û˳¶¡Ï©¶þËá              CAS No. 26099-09-02

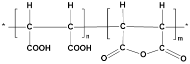
½á¹¹Ê½
Ë®½â¾ÛÂíÀ´Ëáôû HPMA ½á¹¹Ê½

Ò»¡¢ÐÔÄÜÓëÓÃ;

HPMAÒ»Ñùƽ³£Ïà¶Ô·Ö×ÓÁ¿Îª400¡«800£¬£¬£¬ £¬£¬£¬ £¬£¬ÎÞ¶¾£¬£¬£¬ £¬£¬£¬ £¬£¬Ò×ÈÜÓÚË®£¬£¬£¬ £¬£¬£¬ £¬£¬»¯Ñ§ÎȹÌÐÔ¼°ÈÈÎȹÌÐԸߣ¬£¬£¬ £¬£¬£¬ £¬£¬ÆÊÎöζÈÔÚ330¡æÒÔÉÏ ¡£¡£¡£¡£¡£¡£ ¡£¡£HPMAÊÊÓÃÓÚ¼îÐÔÇéÐÎ ¡£¡£¡£¡£¡£¡£ ¡£¡£ÓÉÓÚHPMA×蹸ÐÔÄܺÍÄ͸ßÎÂÐÔÄÜÓÅÒ죬£¬£¬ £¬£¬£¬ £¬£¬Òò´ËÔÚº£Ë®µ­»¯µÄÉÁÕô×°ÖÃÖк͵Íѹ¹øÂ¯¼°¹¤ÒµÑ­»·ÀäÈ´Ë®ÖлñµÃÆÕ±éʹÓà ¡£¡£¡£¡£¡£¡£ ¡£¡£ÁíÍâHPMAÓÐÒ»¶¨µÄ»ºÊ´×÷Ó㬣¬£¬ £¬£¬£¬ £¬£¬ÓëпÑθ´Å仺ʴЧ¹û¸üºÃ ¡£¡£¡£¡£¡£¡£ ¡£¡£

HPMA»¹¿ÉÓÃÓÚË®ÄàÍâ¼Ó¼Á£¬£¬£¬ £¬£¬£¬ £¬£¬ÑμîÍÁÈÀ¸ÄÁ¼¼Á ¡£¡£¡£¡£¡£¡£ ¡£¡£

¶þ¡¢ÊÖÒÕÖ¸±ê

Ïî  Ä¿ Ö¸  ±ê
GB/T 10535-2014
Íâ ¹Û Ç³»ÆÉ«ÖÁרºìɫ͸Ã÷ÒºÌå
¹ÌÌ庬Á¿/% ¡Ý50.0
pHÖµ(1%Ë®ÈÜÒº) 2.0¡«3.0
ÃܶÈ(20¡æ)/g¡¤cm-3 1.22-1.25
äåÖµ/mg¡¤g-1 ¡Ü50.0

Èý¡¢Ê¹ÓÃÒªÁì

HPMAµ¥¶ÀʹÓÃʱһÑùƽ³£Ê¹ÓÃŨ¶ÈΪ1-15mg/L£¬£¬£¬ £¬£¬£¬ £¬£¬³£ÓëÓлúì¢ËáÑθ´ºÏ£¬£¬£¬ £¬£¬£¬ £¬£¬ÓÃÓÚÑ­»·ÀäÈ´Ë®´¦Öóͷ£¼°µÍѹ¹øÂ¯µÄ¯ÄÚ´¦Öóͷ££¬£¬£¬ £¬£¬£¬ £¬£¬¾ßÓÐÓÅÒìµÄÒÖÖÆË®¹¸ÌìÉúºÍ°þÀëÀϹ¸µÄ×÷Ó㬣¬£¬ £¬£¬£¬ £¬£¬×蹸Âʿɴï98%£¬£¬£¬ £¬£¬£¬ £¬£¬EDTMPSÓëHPMA°´1:3±ÈÀý¸´Åäºó£¬£¬£¬ £¬£¬£¬ £¬£¬¿ÉÓÃÓÚµÍѹ¹øÂ¯Â¯ÄÚË®´¦Öóͷ££»£»£»£»£»HPMAÓëпÑθ´Åäʱ£¬£¬£¬ £¬£¬£¬ £¬£¬ÄÜÓÐÓõرÜÃâ̼¸ÖµÄÇÖÊ´ ¡£¡£¡£¡£¡£¡£ ¡£¡£

ËÄ¡¢Çå¾²Óë·À»¤

HPMAΪËáÐÔ£¬£¬£¬ £¬£¬£¬ £¬£¬²Ù×÷Ê±×¢ÖØÀͶ¯±£»£»£»£»£»¤£¬£¬£¬ £¬£¬£¬ £¬£¬Ó¦×èÖ¹ÓëÆ¤·ô¡¢ÑÛ¾¦µÈ½Ó´¥£¬£¬£¬ £¬£¬£¬ £¬£¬½Ó´¥ºóÓôó×ÚÇåË®³åÏ´ ¡£¡£¡£¡£¡£¡£ ¡£¡£

Îå¡¢°ü×°ÓëÖü´æ

HPMAΪËÜÁÏͰ°ü×°£¬£¬£¬ £¬£¬£¬ £¬£¬Ã¿Í°25kg»òÓÉÓû§È·¶¨ ¡£¡£¡£¡£¡£¡£ ¡£¡£Öü´æÆÚΪʮ¶þ¸öÔ ¡£¡£¡£¡£¡£¡£ ¡£¡£

Òªº¦×Ö£ºHPMA£¬£¬£¬ £¬£¬£¬ £¬£¬Ë®½â¾ÛÂíÀ´ËáôûHPMA,¾ÛÂíÀ´Ëá HPMA£¬£¬£¬ £¬£¬£¬ £¬£¬Ë®½â¾ÛÂíÀ´Ëáôû HPMA£¬£¬£¬ £¬£¬£¬ £¬£¬×蹸ÊèÉ¢¼Á£¬£¬£¬ £¬£¬£¬ £¬£¬HPMA
ÏúÊÛÈÈÏߣº0632-5113088      ÏúÊÛ´«Õ棺 0632-5113155
µØÖ·£ºÉ½¶«Ê¡Ôæ×¯ÊÐÊÐÖÐÇøÊ®ÀïȪ¶«Â·1ºÅ     ÍøÖ·£ºhttp://www.thwater.com      E-mail£ºth@thwater.com
°æÈ¨ËùÓЩ £º2006-2021 97622¹ú¼ÊÖÁ×ðÆ·ÅÆ ³ICP±¸09091669ºÅ-43
ÍøÕ¾µØÍ¼